Das MYKKE-Register erfasst in Zusammenarbeit mit dem Paul-Ehrlich-Institut im Rahmen eines Subprojektes die Impfnebenwirkungen bei Kindern und Jugendlichen mit Verdacht auf Myokarditis nach SARS-CoV2-Impfung (PedMYCVAC Follow-Up).
Bis heute sind die kurz- und langfristigen gesundheitlichen Auswirkungen einer impfassoziierten Myokarditis noch nicht ausreichend untersucht. MYKKE möchte die Auswirkungen dieser Erkrankung nach einer Covid-19-Impfung genauer erfassen und weiter erforschen.
Im Rahmen des Projekts, das federführend vom MYKKE-Register durchgeführt wird und welches durch das Bundesministerium für Gesundheit gefördert wird, wird untersucht, welche Symptome und Beschwerden kurz nach der Impfung aufgetreten sind und wie sich die Myokarditis auf die Lebensqualität, Herzfunktion und den Herzrhythmus auswirkt oder ausgewirkt hat.
Das MYKKE-Register ist ein Beobachtungsregister. Das bedeutet, dass keine zusätzlichen Untersuchungen für die Studie erforderlich sind. Stattdessen werden ausschließlich bereits vorliegende medizinische Daten nach schriftlicher Einwilligung pseudonymisiert ausgewertet. Sollte eine klinische Notwendigkeit bestehen, können auch weiterführende Untersuchungen vermittelt werden..
Mit der Teilnahme können die Betroffenen uns helfen, verlässlichere Aussagen über den Verlauf und die langfristigen Folgen einer Covid-19-impfassoziierten Myokarditis zu treffen.
Wenn Sie als Betroffener oder als behandelnder Arzt am Projekt „PedMYCVAC-Follow up“ teilnehmen möchten oder weitere Fragen haben, können Sie sich gerne mit der MYKKE-Studiengruppe in Verbindung setzen.
Die Einwilligungen und Patienteninformation finden sie hier.
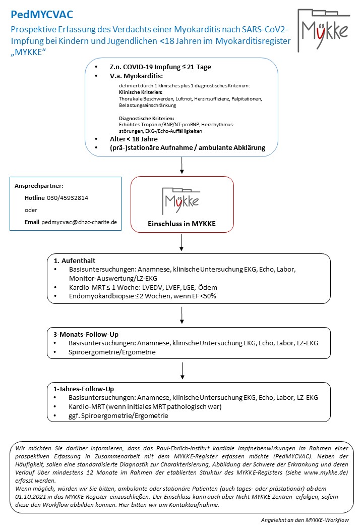
Unseren aktuellen Flyer finden Sie hier: Flyer PedMYCVAC
Unseren vorgeschlagenen Workflow finden Sie hier: Workflow PedMYCVAC
Kontakt:
030 4593 2814
030 4593 3030
